吲哚及其衍生物广泛存在于天然产物和生物活性分子中,是重要的有机合成中间体,由于其结构所具有显著的生理活性,其成为新药设计研发的重要前体。此外,吲哚结构在有机合成中也具有重要作用,从简单的吲哚骨架出发,通过一系列官能团转化可以高效地合成含有多种官能团的复杂多环骨架结构,是合成生物碱类化合物的重要方法。
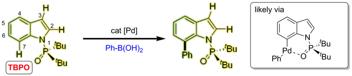
2016年初,该课题组发展了一类大位阻二叔丁基磷氧作为导向基团,安装于吲哚氮原子上,利用醋酸钯作为催化剂,芳基硼酸作为芳基源,2-氯吡啶作为配体,银盐和铜盐作为氧化剂,完美地克服了2, 3号位的优先顺序问题,首次成功实现了吲哚7号位高选择性的直接芳基化反应(J. Am. Chem. Soc. 2016, 138, 495.)(图一)。
![]() 图一
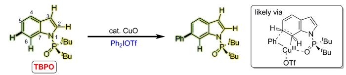
近期,该课题组在吲哚6号位芳基化方面又取得重要进展。利用之前开发的二叔丁基磷氧作为导向基团,以CuO作为催化剂,二芳基高碘化物作为芳基源,在不加任何配体和添加剂的作用下,可以高选择性的实现吲哚6号位的直接芳基化反应(J. Am. Chem. Soc. 2016, DOI: 10.1021/jacs.6b05777.)(图二)。
![]() 图二
这两个反应利用同一底物,却实现了两种截然不同的区域选择性,其主要原因可能是芳基钯和铜跟导向基团上的氧原子配位后,进一步发生反应的方式不同。吲哚7号位芳基化可能是钯中间体直接还原消除,而吲哚6号位则是在铜作用下发生Heck类型反应,产生四元环金属配合物的过渡态,关于这部分机理的详细研究,正在实验室开展。
以上成果“Palladium-Catalyzed C–H Arylation of Indoles at the C7-Position”和“Cu-Catalyzed Direct C6-Arylation of Indoles”均由2014级博士研究生杨友清同学完成,以第一作者发表。上述研究工作得到了中组部青年计划、江苏特聘教授基金、国家自然科学基金以及江苏省青年基金等资金的支持。
|


